Διαγωνισμός
ΠΗΔΑΛΙΟΧΟΥΜΕΝΟ ΘΗΚΑΡΙ /ΘΗΚΑΡΙ ΣΤΑΘΕΡΟΠΟΙΗΣΗΣ ΚΑΘΕΤΗΡΑ/ΚΑΘΕΤΗΡΑΣ ΕΠΑΦΗΣ/ΚΑΘΕΤΗΡΑΣ ΨΥΧΟΜΕΝΟΥ ΑΚΡΟΥ/ΚΑΘΕΤΗΡΑΣ STREERABLE 10 ΠΟΛΙΚΟΣ /ΚΑΘΕΤΗΡΑΣ STEERABLE 4ΠΟΛΙΚΟΣ /10 ΠΟΛΙΚΟΣ FIXED CURVE/ΚΥΚΛΟΤΕΡΗΣ ΚΑΘΕΤΗΡΑΣ/ΒΕΛΟΝΕΣ TRANSEPTALL/ABLATION ΚΑΘΕΤΗΡΑΣ 4mm/ABLATION ΚΑΘΕΤΗΡΑΣ 8mm /20 ΠΟΛΙΚΟΣ ΚΑΘΕΤΗΡΑΣ /ΣΥΝΔΕΤΙΚΑ 4ΠΟΛΙΚΩΝ ΚΑΘΕΤΗΡΩΝ/ΣΥΝΔΕΤΙΚΑ 10 ΠΟΛΙΚΩΝ ΚΑΘΕΤΗΡΩΝ /ΣΥΝΔΕΤΙΚΑ 20ΠΟΛΙΚΩΝ ΚΑΘΕΤΗΡΩΝ/ΣΥΝΔΕΤΙΚΑ ΚΑΘΕΤΗΡΩΝ ΚΑΤΑΛΥΣΗΣ /ΣΥΝΔΕΤΙΚΑ ΚΑΘΕΤΗΡΑ ΜΕ ΑΝΤΛΙΑ/ΚΑΘΕΤΗΡΑΣ ΧΑΡΤΟΓΡΑΦΗΣΗΣ /ΗΛΔΙΑ ΗΛΕΚΤΡΟΑΝΑΤΟΜΗΚΗΣ ΧΑΡΤΟΓΡΑΦΗΣΗΣ/ΒΕΛΟΝΑ ΔΙΑΦΡΑΓΜΑΤΙΚΗΣ ΠΑΡΑΚΕΝΤΗΣΗΣ 18ga/ΘΗΚΑΡΙΑ 8-10FR /ΚΑΘΕΤΗΡΑΣ ΕΝΔΟΚΑΡΔΙΑΚΟΥ ΥΠΕΡΗΧΟΥ/ΚΑΘΕΤΗΡΑΣ ΜΟΝΗΣ ΚΥΜΑΙΝΟΜΕΝΗΣ ΚΑΜΠΥΛΗΣ/ΣΥΝΔΕΤΙΚΟ ΗΛΕΚΤΡΟΔΙΟ ΓΙΑ ΤΟΝ ΑΝΩΤΕΡΟ ΚΑΘΕΤΗΡΑ (ΑΕ:194)
Για να υποβάλλετε προσφορά, πρέπει να συνδεθείτε. Για να συνδεθείτε, πατήστε εδώ.
Τίτλος - Περιγραφή:
ΠΗΔΑΛΙΟΧΟΥΜΕΝΟ ΘΗΚΑΡΙ /ΘΗΚΑΡΙ ΣΤΑΘΕΡΟΠΟΙΗΣΗΣ ΚΑΘΕΤΗΡΑ/ΚΑΘΕΤΗΡΑΣ ΕΠΑΦΗΣ/ΚΑΘΕΤΗΡΑΣ ΨΥΧΟΜΕΝΟΥ ΑΚΡΟΥ/ΚΑΘΕΤΗΡΑΣ STREERABLE 10 ΠΟΛΙΚΟΣ /ΚΑΘΕΤΗΡΑΣ STEERABLE 4ΠΟΛΙΚΟΣ /10 ΠΟΛΙΚΟΣ FIXED CURVE/ΚΥΚΛΟΤΕΡΗΣ ΚΑΘΕΤΗΡΑΣ/ΒΕΛΟΝΕΣ TRANSEPTALL/ABLATION ΚΑΘΕΤΗΡΑΣ 4mm/ABLATION ΚΑΘΕΤΗΡΑΣ 8mm /20 ΠΟΛΙΚΟΣ ΚΑΘΕΤΗΡΑΣ /ΣΥΝΔΕΤΙΚΑ 4ΠΟΛΙΚΩΝ ΚΑΘΕΤΗΡΩΝ/ΣΥΝΔΕΤΙΚΑ 10 ΠΟΛΙΚΩΝ ΚΑΘΕΤΗΡΩΝ /ΣΥΝΔΕΤΙΚΑ 20ΠΟΛΙΚΩΝ ΚΑΘΕΤΗΡΩΝ/ΣΥΝΔΕΤΙΚΑ ΚΑΘΕΤΗΡΩΝ ΚΑΤΑΛΥΣΗΣ /ΣΥΝΔΕΤΙΚΑ ΚΑΘΕΤΗΡΑ ΜΕ ΑΝΤΛΙΑ/ΚΑΘΕΤΗΡΑΣ ΧΑΡΤΟΓΡΑΦΗΣΗΣ /ΗΛΔΙΑ ΗΛΕΚΤΡΟΑΝΑΤΟΜΗΚΗΣ ΧΑΡΤΟΓΡΑΦΗΣΗΣ/ΒΕΛΟΝΑ ΔΙΑΦΡΑΓΜΑΤΙΚΗΣ ΠΑΡΑΚΕΝΤΗΣΗΣ 18ga/ΘΗΚΑΡΙΑ 8-10FR /ΚΑΘΕΤΗΡΑΣ ΕΝΔΟΚΑΡΔΙΑΚΟΥ ΥΠΕΡΗΧΟΥ/ΚΑΘΕΤΗΡΑΣ ΜΟΝΗΣ ΚΥΜΑΙΝΟΜΕΝΗΣ ΚΑΜΠΥΛΗΣ/ΣΥΝΔΕΤΙΚΟ ΗΛΕΚΤΡΟΔΙΟ ΓΙΑ ΤΟΝ ΑΝΩΤΕΡΟ ΚΑΘΕΤΗΡΑ (ΑΕ:194)
Φορέας:
401 Γενικό Στρατιωτικό Νοσοκομείο Αθηνών
E-mail Επικοινωνίας:
Τηλέφωνο Επικοινωνίας:
Κατηγορία Προμήθειας:
-
Κατάσταση Διαγωνισμού:
Ενεργός
Δημοσίευση:
21/01/2026 11:30
Έναρξη Υποβολής Προσφορών:
21/01/2026 11:30
Λήξη Υποβολής Προσφορών:
26/01/2026 07:30
Τόπος Διενέργειας:
401 Γενικό Στρατιωτικό Νοσοκομείο Αθηνών
Προϋπολογισμός:
-
Κριτήριο Κατακύρωσης:
Χαμηλότερη Τιμή
Αριθμός Διαγωνισμού:
21297
Έτος Διαγωνισμού:
2025
ΚΑΕ:
-
Αριθμός αιτήματος ΑΔΑΜ:
-
Αριθμός ΑΔΑ για δέσμευση:
-
Αριθμός Πρωτοκόλλου Φορέα:
194
Αριθμός Απόφασης:
-
Είδος Διαγωνισμού:
Τμήμα:
ΑΙΜΟΔΥΝΑΜΙΚΟ
Παρατηρήσεις
AE:194
TMHMA: ΑΙΜΟΔΥΝΑΜΙΚΟ
ΕΠΕΜΒΑΣΗ:09/02/2026
ΤΕΧΝΙΚΕΣ ΠΡΟΔΙΑΓΡΑΦΕΣ ΟΠΩΣ ΕΠΙΣΥΝΑΠΤΟΜΕΝΟ ΑΡΧΕΙΟ
Υπό Προμήθεια Είδη
Α/Α
Περιγραφή
Κωδικοί
Ποσότητα
Μονάδα Μέτρησης
Υποχρεωτική Τιμή Παρατηρητηρίου
Δείγμα
ΚΑΕ
Ανώτατη Τιμή Μονάδας Χωρίς Φ.Π.Α.
Σχόλια
1
Περιγραφή
ΠΗΔΑΛΙΟΧΟΥΜΕΝΟ ΘΗΚΑΡΙ
Κωδικοί
-
Ποσότητα
1,00000
Μονάδα Μέτρησης
Τεμάχιο
Υποχρεωτική Τιμή Παρατηρητηρίου
Ναι
Δείγμα
Όχι
ΚΑΕ
-
Ανώτατη Τιμή Μονάδας Χωρίς Φ.Π.Α.
-
Σχόλια
ΤΕΧΝΙΚΕΣ ΠΡΟΔΙΑΓΡΑΦΕΣ ΟΠΩΣ ΕΠΙΣΥΝΑΠΤΟΜΕΝΟ ΑΡΧΕΙΟ
2
Περιγραφή
ΘΗΚΑΡΙ ΣΤΑΘΕΡΟΠΟΙΗΣΗΣ ΚΑΘΕΤΗΡΑ
Κωδικοί
-
Ποσότητα
1,00000
Μονάδα Μέτρησης
Τεμάχιο
Υποχρεωτική Τιμή Παρατηρητηρίου
Ναι
Δείγμα
Όχι
ΚΑΕ
-
Ανώτατη Τιμή Μονάδας Χωρίς Φ.Π.Α.
-
Σχόλια
ΤΕΧΝΙΚΕΣ ΠΡΟΔΙΑΓΡΑΦΕΣ ΟΠΩΣ ΕΠΙΣΥΝΑΠΤΟΜΕΝΟ ΑΡΧΕΙΟ
3
Περιγραφή
ΚΑΘΕΤΗΡΑΣ ΕΠΑΦΗΣ
Κωδικοί
-
Ποσότητα
1,00000
Μονάδα Μέτρησης
Τεμάχιο
Υποχρεωτική Τιμή Παρατηρητηρίου
Ναι
Δείγμα
Όχι
ΚΑΕ
-
Ανώτατη Τιμή Μονάδας Χωρίς Φ.Π.Α.
-
Σχόλια
ΤΕΧΝΙΚΕΣ ΠΡΟΔΙΑΓΡΑΦΕΣ ΟΠΩΣ ΕΠΙΣΥΝΑΠΤΟΜΕΝΟ ΑΡΧΕΙΟ
4
Περιγραφή
ΚΑΘΕΤΗΡΑΣ ΨΥΧΟΜΕΝΟΥ ΑΚΡΟΥ
Κωδικοί
-
Ποσότητα
1,00000
Μονάδα Μέτρησης
Τεμάχιο
Υποχρεωτική Τιμή Παρατηρητηρίου
Ναι
Δείγμα
Όχι
ΚΑΕ
-
Ανώτατη Τιμή Μονάδας Χωρίς Φ.Π.Α.
-
Σχόλια
ΤΕΧΝΙΚΕΣ ΠΡΟΔΙΑΓΡΑΦΕΣ ΟΠΩΣ ΕΠΙΣΥΝΑΠΤΟΜΕΝΟ ΑΡΧΕΙΟ
5
Περιγραφή
ΚΑΘΕΤΗΡΑΣ STREERABLE 10 ΠΟΛΙΚΟΣ
Κωδικοί
-
Ποσότητα
1,00000
Μονάδα Μέτρησης
Υπηρεσία
Υποχρεωτική Τιμή Παρατηρητηρίου
Ναι
Δείγμα
Όχι
ΚΑΕ
-
Ανώτατη Τιμή Μονάδας Χωρίς Φ.Π.Α.
-
Σχόλια
ΤΕΧΝΙΚΕΣ ΠΡΟΔΙΑΓΡΑΦΕΣ ΟΠΩΣ ΕΠΙΣΥΝΑΠΤΟΜΕΝΟ ΑΡΧΕΙΟ
6
Περιγραφή
ΚΑΘΕΤΗΡΑΣ STEERABLE 4ΠΟΛΙΚΟΣ
Κωδικοί
-
Ποσότητα
3,00000
Μονάδα Μέτρησης
Τεμάχιο
Υποχρεωτική Τιμή Παρατηρητηρίου
Ναι
Δείγμα
Όχι
ΚΑΕ
-
Ανώτατη Τιμή Μονάδας Χωρίς Φ.Π.Α.
-
Σχόλια
ΤΕΧΝΙΚΕΣ ΠΡΟΔΙΑΓΡΑΦΕΣ ΟΠΩΣ ΕΠΙΣΥΝΑΠΤΟΜΕΝΟ ΑΡΧΕΙΟ
7
Περιγραφή
10 ΠΟΛΙΚΟΣ FIXED CURVE
Κωδικοί
-
Ποσότητα
1,00000
Μονάδα Μέτρησης
Τεμάχιο
Υποχρεωτική Τιμή Παρατηρητηρίου
Ναι
Δείγμα
Όχι
ΚΑΕ
-
Ανώτατη Τιμή Μονάδας Χωρίς Φ.Π.Α.
-
Σχόλια
ΤΕΧΝΙΚΕΣ ΠΡΟΔΙΑΓΡΑΦΕΣ ΟΠΩΣ ΕΠΙΣΥΝΑΠΤΟΜΕΝΟ ΑΡΧΕΙΟ
8
Περιγραφή
ΚΥΚΛΟΤΕΡΗΣ ΚΑΘΕΤΗΡΑΣ
Κωδικοί
-
Ποσότητα
1,00000
Μονάδα Μέτρησης
Τεμάχιο
Υποχρεωτική Τιμή Παρατηρητηρίου
Ναι
Δείγμα
Όχι
ΚΑΕ
-
Ανώτατη Τιμή Μονάδας Χωρίς Φ.Π.Α.
-
Σχόλια
ΤΕΧΝΙΚΕΣ ΠΡΟΔΙΑΓΡΑΦΕΣ ΟΠΩΣ ΕΠΙΣΥΝΑΠΤΟΜΕΝΟ ΑΡΧΕΙΟ
9
Περιγραφή
ΒΕΛΟΝΕΣ TRANSEPTALL
Κωδικοί
-
Ποσότητα
1,00000
Μονάδα Μέτρησης
Τεμάχιο
Υποχρεωτική Τιμή Παρατηρητηρίου
Ναι
Δείγμα
Όχι
ΚΑΕ
-
Ανώτατη Τιμή Μονάδας Χωρίς Φ.Π.Α.
-
Σχόλια
ΤΕΧΝΙΚΕΣ ΠΡΟΔΙΑΓΡΑΦΕΣ ΟΠΩΣ ΕΠΙΣΥΝΑΠΤΟΜΕΝΟ ΑΡΧΕΙΟ
10
Περιγραφή
ABLATION ΚΑΘΕΤΗΡΑΣ 4mm
Κωδικοί
-
Ποσότητα
1,00000
Μονάδα Μέτρησης
Τεμάχιο
Υποχρεωτική Τιμή Παρατηρητηρίου
Ναι
Δείγμα
Όχι
ΚΑΕ
-
Ανώτατη Τιμή Μονάδας Χωρίς Φ.Π.Α.
-
Σχόλια
ΤΕΧΝΙΚΕΣ ΠΡΟΔΙΑΓΡΑΦΕΣ ΟΠΩΣ ΕΠΙΣΥΝΑΠΤΟΜΕΝΟ ΑΡΧΕΙΟ
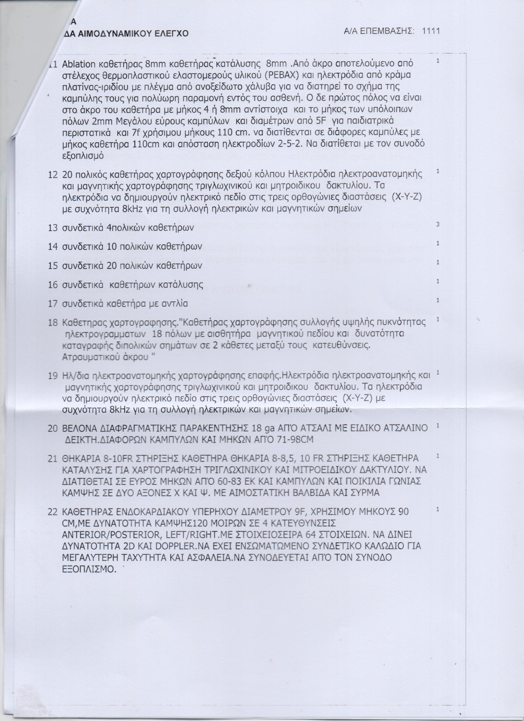
11
Περιγραφή
ABLATION ΚΑΘΕΤΗΡΑΣ 8mm
Κωδικοί
-
Ποσότητα
1,00000
Μονάδα Μέτρησης
Τεμάχιο
Υποχρεωτική Τιμή Παρατηρητηρίου
Ναι
Δείγμα
Όχι
ΚΑΕ
-
Ανώτατη Τιμή Μονάδας Χωρίς Φ.Π.Α.
-
Σχόλια
ΤΕΧΝΙΚΕΣ ΠΡΟΔΙΑΓΡΑΦΕΣ ΟΠΩΣ ΕΠΙΣΥΝΑΠΤΟΜΕΝΟ ΑΡΧΕΙΟ
12
Περιγραφή
20 ΠΟΛΙΚΟΣ ΚΑΘΕΤΗΡΑΣ
Κωδικοί
-
Ποσότητα
1,00000
Μονάδα Μέτρησης
Τεμάχιο
Υποχρεωτική Τιμή Παρατηρητηρίου
Ναι
Δείγμα
Όχι
ΚΑΕ
-
Ανώτατη Τιμή Μονάδας Χωρίς Φ.Π.Α.
-
Σχόλια
ΤΕΧΝΙΚΕΣ ΠΡΟΔΙΑΓΡΑΦΕΣ ΟΠΩΣ ΕΠΙΣΥΝΑΠΤΟΜΕΝΟ ΑΡΧΕΙΟ
13
Περιγραφή
ΣΥΝΔΕΤΙΚΑ 4ΠΟΛΙΚΩΝ ΚΑΘΕΤΗΡΩΝ
Κωδικοί
-
Ποσότητα
3,00000
Μονάδα Μέτρησης
Τεμάχιο
Υποχρεωτική Τιμή Παρατηρητηρίου
Ναι
Δείγμα
Όχι
ΚΑΕ
-
Ανώτατη Τιμή Μονάδας Χωρίς Φ.Π.Α.
-
Σχόλια
-
14
Περιγραφή
ΣΥΝΔΕΤΙΚΑ 10 ΠΟΛΙΚΩΝ ΚΑΘΕΤΗΡΩΝ
Κωδικοί
-
Ποσότητα
1,00000
Μονάδα Μέτρησης
Τεμάχιο
Υποχρεωτική Τιμή Παρατηρητηρίου
Ναι
Δείγμα
Όχι
ΚΑΕ
-
Ανώτατη Τιμή Μονάδας Χωρίς Φ.Π.Α.
-
Σχόλια
-
15
Περιγραφή
ΣΥΝΔΕΤΙΚΑ 20ΠΟΛΙΚΩΝ ΚΑΘΕΤΗΡΩΝ
Κωδικοί
-
Ποσότητα
1,00000
Μονάδα Μέτρησης
Τεμάχιο
Υποχρεωτική Τιμή Παρατηρητηρίου
Ναι
Δείγμα
Όχι
ΚΑΕ
-
Ανώτατη Τιμή Μονάδας Χωρίς Φ.Π.Α.
-
Σχόλια
-
16
Περιγραφή
ΣΥΝΔΕΤΙΚΑ ΚΑΘΕΤΗΡΩΝ ΚΑΤΑΛΥΣΗΣ
Κωδικοί
-
Ποσότητα
1,00000
Μονάδα Μέτρησης
Τεμάχιο
Υποχρεωτική Τιμή Παρατηρητηρίου
Ναι
Δείγμα
Όχι
ΚΑΕ
-
Ανώτατη Τιμή Μονάδας Χωρίς Φ.Π.Α.
-
Σχόλια
-
17
Περιγραφή
ΣΥΝΔΕΤΙΚΑ ΚΑΘΕΤΗΡΑ ΜΕ ΑΝΤΛΙΑ
Κωδικοί
-
Ποσότητα
1,00000
Μονάδα Μέτρησης
Τεμάχιο
Υποχρεωτική Τιμή Παρατηρητηρίου
Ναι
Δείγμα
Όχι
ΚΑΕ
-
Ανώτατη Τιμή Μονάδας Χωρίς Φ.Π.Α.
-
Σχόλια
-
18
Περιγραφή
ΚΑΘΕΤΗΡΑΣ ΧΑΡΤΟΓΡΑΦΗΣΗΣ
Κωδικοί
-
Ποσότητα
1,00000
Μονάδα Μέτρησης
Τεμάχιο
Υποχρεωτική Τιμή Παρατηρητηρίου
Ναι
Δείγμα
Όχι
ΚΑΕ
-
Ανώτατη Τιμή Μονάδας Χωρίς Φ.Π.Α.
-
Σχόλια
ΤΕΧΝΙΚΕΣ ΠΡΟΔΙΑΓΡΑΦΕΣ ΟΠΩΣ ΕΠΙΣΥΝΑΠΤΟΜΕΝΟ ΑΡΧΕΙΟ
19
Περιγραφή
ΗΛΔΙΑ ΗΛΕΚΤΡΟΑΝΑΤΟΜΗΚΗΣ ΧΑΡΤΟΓΡΑΦΗΣΗΣ
Κωδικοί
-
Ποσότητα
1,00000
Μονάδα Μέτρησης
Τεμάχιο
Υποχρεωτική Τιμή Παρατηρητηρίου
Ναι
Δείγμα
Όχι
ΚΑΕ
-
Ανώτατη Τιμή Μονάδας Χωρίς Φ.Π.Α.
-
Σχόλια
ΤΕΧΝΙΚΕΣ ΠΡΟΔΙΑΓΡΑΦΕΣ ΟΠΩΣ ΕΠΙΣΥΝΑΠΤΟΜΕΝΟ ΑΡΧΕΙΟ
20
Περιγραφή
ΒΕΛΟΝΑ ΔΙΑΦΡΑΓΜΑΤΙΚΗΣ ΠΑΡΑΚΕΝΤΗΣΗΣ 18ga
Κωδικοί
-
Ποσότητα
1,00000
Μονάδα Μέτρησης
Τεμάχιο
Υποχρεωτική Τιμή Παρατηρητηρίου
Ναι
Δείγμα
Όχι
ΚΑΕ
-
Ανώτατη Τιμή Μονάδας Χωρίς Φ.Π.Α.
-
Σχόλια
ΤΕΧΝΙΚΕΣ ΠΡΟΔΙΑΓΡΑΦΕΣ ΟΠΩΣ ΕΠΙΣΥΝΑΠΤΟΜΕΝΟ ΑΡΧΕΙΟ
21
Περιγραφή
ΘΗΚΑΡΙΑ 8-10FR
Κωδικοί
-
Ποσότητα
1,00000
Μονάδα Μέτρησης
Τεμάχιο
Υποχρεωτική Τιμή Παρατηρητηρίου
Ναι
Δείγμα
Όχι
ΚΑΕ
-
Ανώτατη Τιμή Μονάδας Χωρίς Φ.Π.Α.
-
Σχόλια
ΤΕΧΝΙΚΕΣ ΠΡΟΔΙΑΓΡΑΦΕΣ ΟΠΩΣ ΕΠΙΣΥΝΑΠΤΟΜΕΝΟ ΑΡΧΕΙΟ
22
Περιγραφή
ΚΑΘΕΤΗΡΑΣ ΕΝΔΟΚΑΡΔΙΑΚΟΥ ΥΠΕΡΗΧΟΥ
Κωδικοί
-
Ποσότητα
1,00000
Μονάδα Μέτρησης
Τεμάχιο
Υποχρεωτική Τιμή Παρατηρητηρίου
Ναι
Δείγμα
Όχι
ΚΑΕ
-
Ανώτατη Τιμή Μονάδας Χωρίς Φ.Π.Α.
-
Σχόλια
ΤΕΧΝΙΚΕΣ ΠΡΟΔΙΑΓΡΑΦΕΣ ΟΠΩΣ ΕΠΙΣΥΝΑΠΤΟΜΕΝΟ ΑΡΧΕΙΟ
23
Περιγραφή
ΚΑΘΕΤΗΡΑΣ ΜΟΝΗΣ ΚΥΜΑΙΝΟΜΕΝΗΣ ΚΑΜΠΥΛΗΣ
Κωδικοί
-
Ποσότητα
1,00000
Μονάδα Μέτρησης
Τεμάχιο
Υποχρεωτική Τιμή Παρατηρητηρίου
Ναι
Δείγμα
Όχι
ΚΑΕ
-
Ανώτατη Τιμή Μονάδας Χωρίς Φ.Π.Α.
-
Σχόλια
-
24
Περιγραφή
ΣΥΝΔΕΤΙΚΟ ΗΛΕΚΤΡΟΔΙΟ ΓΙΑ ΤΟΝ ΑΝΩΤΕΡΟ ΚΑΘΕΤΗΡΑ
Κωδικοί
-
Ποσότητα
1,00000
Μονάδα Μέτρησης
Τεμάχιο
Υποχρεωτική Τιμή Παρατηρητηρίου
Ναι
Δείγμα
Όχι
ΚΑΕ
-
Ανώτατη Τιμή Μονάδας Χωρίς Φ.Π.Α.
-
Σχόλια
-